Chap. 15 고주파통과필터(와 저주파필터)
이번 장은 수식이 많다.
고주파통과필터는 말 그대로...
입력신호에서 저주파 성분은 걸러내고, 고주파 성분만 통과시키는 것이다.
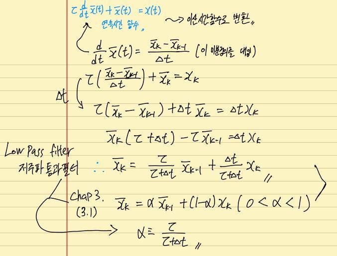
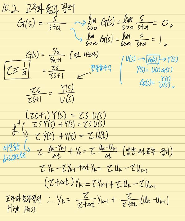
15.1 라플라스 변환과 필터
필터를 설계하고 분석하는 데 기준이 되는 필터의 수학식이 라플라스 변환에 기초한다.
라플라스 변환은 시간 도메인 g(t)에서 주파수 도메인 G(s)로 변환한다.
이 때 필터의 입력신호, 출력신호사의 관계를 나타내는 식을 전달함수라고 한다.
transfer function
특히 저주파 식에 극한을 취해보면 이 식이 저주파인지, 고주파인지 판가름 된다.
아래에 나오는 식은 가장 간단한 형태의 저주파, 고주파 형태이므로 식에 따라 변경될 수 있다.


15.2 고주파 통과 필터

예제들을 통해서 살펴보면 정확하게 입력신호에서 잡음이 걸러졌는지 판단하기는 어렵다.
하지만
측정값 = 참값 + 잡음
이기 때문에 반대로 측정값에서 잡음을 빼면 참값이 나오게된다.
만약 고주파 필터가 측정값에서 잡음을 분리해내어, 참값에서 빼내면 정확하게 참값과 동일하게 그래프가 나올 것이다.
저주파 필터의 경우 '측정값 - 잡음'이 되기 때문에
저주파 통과 필터의 결과 ~= (측정값 - 고주파필터출력)
2개를 비교해보면 고주파통과필터가 입력신호 잡음을 분리해낸다는 것을 알 수 있다.
\(\frac{a}{s+a} + \frac{s}{s+a} = \frac{s+a}{s+a} = 1\) 이 된다.
저주파필터 + 고주파필터를 더하면 1이 된다는 사실은 상보필터에서 사용된다.
'Study > 칼만필터' 카테고리의 다른 글
[칼만필터] 부록. 베이즈 정리 (0) | 2022.01.15 |
---|---|
[칼만필터] Chap. 16 상보필터 (2) | 2022.01.15 |
[칼만필터] Chap 14. 파티클필터 (0) | 2022.01.15 |
[칼만필터] Chap 13. 무향칼만필터 (0) | 2022.01.15 |
[통계] 공분산행렬과 PCA(주성분분석) (0) | 2022.01.15 |